Resolução do problema

         

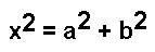
Aplicando o teorema de Pitágoras, será:

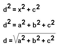
Considera agora o triângulo [EGC] rectângulo em G (Porquê?) Pela relação pitagórica virá:

        

d não é senão a medida do comprimento da diagonal [EC].