Escola Secundária José Estêvão, n.º 18, Fevereiro de 1997
O ENSINO TECNOLÓGICO NAS ESCOLAS SECUNDÁRIAS DE AVEIRO
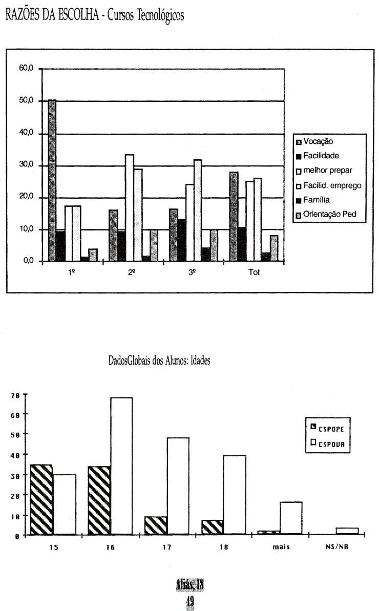
pág. 49